El concepte de personalitat defineix la tendència a respondre amb un determinat patró davant situacions semblants. Psicòlegs investigadors de la UAB han dut les nostres personalitats al laboratori per estudiar-les. En el seu últim estudi han analitzat el reflex d'ensurt, una resposta neurofisiològica que es dispara davant un estímul abrupte i sobtat. A continuació els seus resultats.
Fullana, MA; Caseras, X; Riba, J; Barbanoj, M; Torrubia, R, "Influence of individual differences in Behavioral Inhibition System on the magnitude and time course of the fear-potentiated startl". INTERNATIONAL JOURNAL OF PSYCHOPHYSIOLOGY, 60 (3): 323-329 JUNY 2006.
Perquè som com som és una pregunta que ens fem molt sovint i que també fa temps que atreu a la ciència. El concepte de personalitat defineix la tendència a respondre amb un determinat patró davant situacions semblants. Fa temps ja què se sap que aquestes tendències depenen principalment del funcionament diferencial del nostre sistema nerviós, o sigui, que som "diferents" degut a que el nostre cervell respon de manera idiosincràtica a diferents estímuls i situacions. Però la demostració objectiva d'aquestes diferències, és a dir, portar la personalitat al laboratori, ha estat i segueix essent una tasca difícil.
El reflex d'ensurt és la resposta neurofisiològica que es dispara davant un estímul abrupte i sobtat (p.ex., un so intens) i fa temps que interessa als estudiosos del cervell perquè s'ha vist que pot estar alterat en algunes malalties neurològiques i psiquiàtriques. Des de fa aproximadament dues dècades, se sap també que està modulat per factors emocionals i que, en general, aquest reflex augmenta quan la persona experimenta un estat emocional negatiu i disminueix durant estats emocionals positius. Això ha fet que es converteixi en una excellent eina per estudiar fenòmens psico(pato)lògics, com l'ansietat.
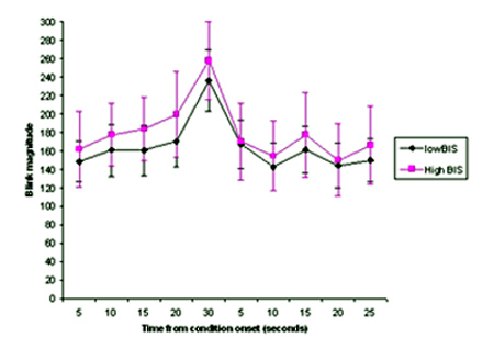
En l'estudi dels investigadors del Institut de Neurociències de la UAB i de l?Institut de Recerca de l'hospital de Sant Pau es va fer servir un paradigma on es mesurava el reflex d'ensurt durant períodes en que es podia (fase d'amenaça) o no (fase de seguretat) rebre una estimulació aversiva (una petita descàrrega elèctrica) en dos grups de "personalitats diferents", uns caracteritzats per la seva tendència a l'ansietat (persones amb alta "sensibilitat al càstig") i altres que mostraven un escassa tendència a l'ansietat (persones amb "baixa sensibilitat al càstig").
La hipòtesi contrastada era que les persones amb alta sensibilitat al càstig presentarien una reflex d'ensurt augmentat durant els períodes d'amenaça. Tot i que es va trobar un augment d'aquesta variable a mesura que s'apropava l'amenaça, aquest es donava en els dos grups, o sigui, tan els ansiosos coms els no ansiosos responien de manera semblant. (Veure gràfic 1) Aquests resultats, juntament amb altres investigacions, posen de manifest que les diferències entre els individus ansiosos i no ansiosos podrien estar més relacionades amb altres processos psicofisiològics, i més concretament, amb el que s'ha anomenat condicionament al context.

2026 Universitat Autònoma de Barcelona
B.11870-2012 ISSN: 2014-6388