En este artículo se describe la preparación, mediante el proceso sol-gel, de diversos materiales híbridos orgánico-inorgánicos derivados de monómeros de tipo Hoveyda. Uno de ellos presenta el grupo nitro en posición para con respecto al grupo alcoxi. Estos materiales se trataron con los catalizadores de Grubbs para generar los correspondientes complejos carbénicos de rutenio de Grubbs-Hoveyda unidos de forma covalente a la matriz de sílice, los cuales se ensayaron como catalizadores reutilizables en reacciones de metátesis intramolecular de dienos y eninos. Los efectos electrónicos del grupo nitro contribuyeron a aumentar la actividad del catalizador. Con respecto a la reciclabilidad, mientras ésta disminuía en la metátesis de dienos, la presencia del grupo electroatrayente mejoraba el reciclaje en la metátesis de eninos.
Hybrid silica materials derived from Hoveyda-Grubbs ruthenium carbenes. Electronic effects of the nitro group on the activity and recyclability as diene and enyne metathesis catalysts. Xavier Elias; Roser Pleixats; Michel Wong Chi Man, Tetrahedron 2008, 64, 6770-6781
La metátesis de olefinas y la de enins se han convertido durante la última década en unas de las reacciones más importantes en química orgánica. Su gran éxito ha sido debido al desarrollo de toda una serie de nuevos complejos metal-carbeno, denominados catalizadores de Grubbs, que han resultado ser unos iniciadores eficientes y selectivos. Una segunda generación de estos catalizadores, y especialmente los de tipo Grubbs-Hoveyda, han mostrado una reactividad todavía mayor, así como una excelente estabilidad y la posibilidad de ser recuperados. Diversos estudios han descrito la influencia de los efectos estéricos y electrónicos en estos complejos. Concretamente, se puede alcanzar una mayor reactividad mediante grupos electroatrayentes en posición para con respecto a los grupos alcoxi o alquilideno del catalizador.
Con respecto a su recuperación, una de las estrategias más usadas consiste en la inmovilización del complejo en un soporte polimérico insoluble, de manera que una simple filtración, una vez ha acabado la reacción, permite una fácil separación del producto y la recuperación del catalizador. Los soportes más utilizados han sido polímeros orgánicos, pero, en cambio, los materiales híbridos orgánico-inorgánicos formados por especies catalíticas unidas covalentemente a sílica presentan una estabilidad térmica, química y mecánica superior. La condensación hidrolítica mediante el proceso sol-gel de alcoxisilanos orgánicos adecuados es un método que permite la preparación de materiales híbridos con las propiedades deseadas, como una gran área superficial o bien la estructuración del material.

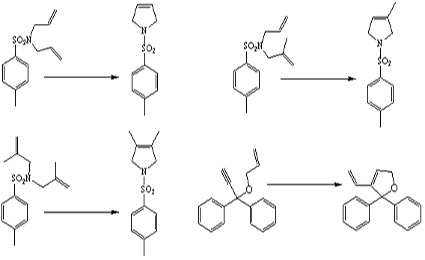
Figura 2. Reacciones de metátesis ensayadas.
En este trabajo se han preparado nuevos materiales a partir de monómeros monosililados que incorporan un grupo nitro electroatrayente en posición para con respecto al grupo alcoxi, y se ha comparado su eficiencia como catalizadores y su capacidad para ser reciclados con las de otros materiales donde el grupo nitro está ausente.
En primer lugar, se han sintetizado tres nuevos monómeros monosililados que incorporan los grupos deseados. Posteriormente se han preparado diversos materiales (Figura 1), ya fuera por anclaje a geles de sílice comercial o bien de tipo MCM-41 (una sílica mesoestructurada que presenta una alta porosidad y área superficial), o bien por síntesis directa para el proceso sol-gel. En este caso, en algunas de las reacciones se ha incorporado un tensioactivo como agente estructurante del material, consiguiendo así una gran área superficial y una cierta organización del material. Estos materiales han sido cargados con el complejo de rutenio de Grubbs de segunda generación y han sido ensayados en reacciones modelo tanto de metátesis de olefinas como de eninos (Figura 2). Se ha visto que estos catalizadores actúan como iniciadores eficientes de la reacción, incluso en la síntesis de olefinas tri- y tetrasubstituídas, que resultan ser moléculas demasiado difíciles para la mayoría de catalizadores. Las condiciones son más suaves y la reciclabilidad mejor que la encontrada con otros complejos soportados descritos a la literatura.
En todos los casos, los materiales preparados por sol-gel son superiores a los que provienen de un anclaje. La estructuración conseguida mediante el uso de tensioactivos también ha mejorado la actividad, mientras que la presencia del grupo nitro electroatrayente ha permitido una mejora de la eficiencia en la metátesis de olefinas, pero el reciclaje ha resultado peor. En cambio, en la metátesis de eninos, la presencia del grupo nitro ha dado lugar tanto a reacciones más rápidas como a una mejor reciclabilidad, constituyendo el mejor complejo reutilizable descrito para esta reacción.
2025 Universitat Autònoma de Barcelona
B.11870-2012 ISSN: 2014-6388