Telecomunicacions, Electrònica i Informàtica

07/2008 -

Noves estratègies per al control automàtic de processos industrials

El grup d'Automatització i Sistemes Avançats de Control (ASAC) ha desenvolupat una configuració automàtica, per gestionar, de manera simultània i automàtica, els problemes de seguiment i regulació que poden ocórrer en alguns processos industrials. 

Referències

"Reference controller design in 2-DOF control". Vilanova, R. ELECTRICAL ENGINEERING, 90 (4): 275-281 APR 2008.

"Optimal reference processing in 2-DOF control". Vilanova, R.; Serra, I.; Pedret, C.; Moreno, R. IET- Control Theory and Applications, 1(5), pp1322-1328, 2007.

Avui dia, gairebé tots els processos industrials tenen lloc de manera totalment automatitzada i automàtica. De fet, seria força complicat trobar algun cas en el que la tasca es realitzi, encara, de manera manual. Aquest alt nivell d’automatització comporta la realització d'un conjunt de tasques de naturalesa molt diferent i d'una manera totalment automàtica.

L'enginyeria de control s'encarrega de la síntesi de controladors automàtics que permeten realitzar aquestes tasques segons uns criteris o especificacions de funcionament, els quals estan sempre dissenyats per a que l'operació que es desitja es faci de forma automàtica. Per exemple, en un reactor químic interessarà mantenir la concentració del component de sortida en un determinat valor, amb el màxim de precisió (determinant així la qualitat del producte resultant). Aquesta concentració desitjada pot canviar, òbviament, depenent de les exigències de producció o dels nivells de qualitat que s'especifiquin. En qualsevol cas, la tasca del controlador automàtic serà la de manipular el procés, per tal de que aquest s'acomodi a la nova situació (anomenada problema de seguiment o servo tracking) o, en el seu defecte, mantingui les condicions d'operació desitjades tot i el possible efecte advers de pertorbacions alienes (anomenat problema de regulació o disturbance attenuation).

L’enginyeria de control fa front a aquestes problemàtiques mitjançant l'ús de la realimentació del senyal de sortida del procés o variable d'interès. No obstant, resoldre aquest problema de control automàtic no és senzill i comporta la consideració de tot un seguit de problemàtiques tant teòriques (estabilitat, representació matemàtica, etc.) com tecnològiques (mesura i tractament dels senyals, implementació digital del controlador, etc.). Una d'aquestes problemàtiques esdevé per una limitació fonamental i inherent a la mateixa configuració del sistema de control: els problemes de seguiment i de regulació no es poden resoldre de la mateixa manera, la qual cosa comporta que un controlador que resolgui, de manera efectiva, el problema de seguiment, possiblement sigui associat a un baix rendiment de funcionament quan operi en regulació.

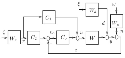
Imatge 1. Descripci� de la configuraci� desenvolupada pel grup d'Automatitzaci� i Sistemes Avan�ats de Control (ASAC).

El que s'ha desenvolupat en aquests treballs des del grup d'Automatització i Sistemes Avançats de Control (ASAC) és una configuració que gestiona el segon grau de llibertat existent en la configuració del sistema de control, de manera que ambdós problemes esdevenen ortogonals i, per tant, independents. Aquest fet possibilita que es puguin tractar les especificacions de funcionament per ambdós problemes (seguiment i regulació) de manera separada. A més de simplificar el problema, aquesta configuració permet possibilitats de disseny que, d'altra manera, no serien possibles.

L'avantatge principal és el rendiment que es pot aconseguir quan es tracta amb problemes de seguiment o tracking. En aquests casos, es possible aconseguir sistemes de posicionament amb una elevada rapidesa i precisió.

Ramón Vilanova

Departament de Telecomunicació i Enginyeria de Sistemes

Universitat Autònoma de Barcelona

Ramon.Vilanova@uab.es

2026 Universitat Autònoma de Barcelona

B.11870-2012 ISSN: 2014-6388